


![]() |
Quantum Photonic Neural Networks in Time [arXiv] |
![]() |
Large-Scale Tree-Type Photonic Cluster State Generation with Recurrent Quantum Photonic Neural Networks [arXiv] |
![]() |
Roadmap on Neuromorphic Photonics [arXiv] |


![]() |
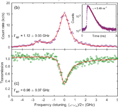
Approaching transform-limited linewidths in telecom-wavelength transitions of ungated quantum dots [arXiv] ACS Photonics 13, 6, 1591–1598 (2026) |
![]() |
Reducing Disorder-Induced Backscattering in Photonic Crystal Waveguides through Inverse Design [arXiv] Physical Review A 113,023515 (2026) |

![]() |
Hybrid quantum-classical photonic neural networks [arXiv] npj unconventional computing 2, 29 (2025) |



![]() |
Direct observation of non-linear phase shift induced by a single quantum emitter in a waveguide [arXiv] Nature Communications 15, 7583 (2024) |
![]() |
Reconfigurable quantum photonic circuits based on quantum dots [arXiv] Nanophotonics 13, 2951 (2024) |
![]() |
Single photon emission in the telecom C-band from nanowire-based quantum dots [arXiv] Applied Physics Letters 124, 044006 (2024) |

![]() |
Independent electrical control of two quantum dots coupled through a photonic crystal waveguide [arXiv] Physical Review Letters 131, 033606 (2023) |
![]() |
Imperfect quantum photonic neural networks [arXiv] Advanced Quantum Technologies 6, 2200125 (2023) |

![]() |
Sub-radiant states for imperfect quantum emitters coupled by a nanophotonic waveguide [arXiv] Physical Review A 106, 053702 (2022) |
![]() |
Dynamical photon-photon interaction mediated by a quantum emitter [arXiv] Nature Physics 18, 1191 (2022) Featured: News & Views (Quantum underpinnings of an all-photonic switch) and phys.org (A new method to enable efficient interactions between photons) |
![]() |
Optimizing the chiral Purcell factor for unidirectional single photon emitters in topological photonic crystal waveguides using inverse design [arXiv] Physical Review A 106, 033514 (2022) |
![]() |
Chiral quantum optics in broken-symmetry and topological photonic crystal waveguides [arXiv] Physical Review Research 4, 023082 (2022) |

![]() |
An integrated whispering-gallery-mode resonator for solid-state coherent quantum photonics [arXiv] Nano Letters 21, 8707 (2021) |
![]() |
Experimental reconstruction of the few-photon nonlinear scattering matrix from a single quantum dot in a nanophotonic waveguide [arXiv] Physical Review Letters 126, 023603 (2021) |

![]() |
Lifetimes and quantum efficiencies of quantum dots deterministically positioned in photonic crystal waveguides [arXiv] Advanced Quantum Technologies, 2000026 (2020) |
![]() |
Deterministic positioning of nanophotonic waveguides around single self-assembled quantum dots [arXiv] APL Photonics 5, 086101 (2020) |

![]() |
Coherent nonlinear optics of quantum emitters in nanophotonic waveguides (Review) Nanophotonics 8, 1641 (2019) |
![]() |
Chiral emission into nanophotonic resonators [arXiv] ACS Photonics 6, 961 (2019) |
![]() |
A full vectorial mapping of nanophotonic near fields Light, Science & Applications 8, 28 (2019) |

![]() |
Quantum optics with near-lifetime-limited quantum-dot transitions in a nanophotonic waveguide [arXiv] Nano Letters 18, 1801 (2018) |

![]() |
Chip-based all-optical control of single molecules coherently coupled to a nanoguide Nano Letters 17, 4791 (2017) |
![]() |
Core-shell plasmonic nanohelices ACS Photonics 4, 1858 (2017) |
![]() |
Small slot waveguide rings for on-chip quantum optical circuits Optics Express 25, 5397 (2017) |

![]() |
Harmonic generation from surface plasmon polaritons on single nanowires (ACS Editor’s Choice Article) ACS Photonics 3, 1446 (2016) |

![]() |
Tracking nanoscale electric and magnetic singularities through three-dimensional space Optica 2, 540 (2015) |
![]() |
Creating and controlling polarization singularities in plasmonic fields (Invited) Photonics 2, 553 (2015) |
![]() |
Nanophotonic control of circular dipole emission Nature Communications 6, 6695 (2015) |
![]() |
Triggering extreme events at the nanoscale in photonic seas (Cover Article) Nature Physics 11, 358 (2015) |

![]() |
Mapping nanoscale light fields (Review) Nature Photonics 8, 918 (2014) |
![]() |
Ultrafast photonics on gold nanowires: confinement, dispersion and pulse propagation ACS Photonics 1, 1173 (2014) |
![]() |
Optical singularities in plasmonic fields near single subwavelength holes (Invited; Selected IOP Highlight of 2014) Journal of Optics 16, 114004 (2014) |
![]() |
Model symmetries at the nanoscale: a route towards a complete vectorial near-field mapping Optics Letters 39, 2802 (2014) |
![]() |
Simultaneous measurement of nanoscale electric and magnetic optical fields Nature Photonics 8, 43 (2014) |

![]() |
Magnetic and electric response of single subwavelength holes Physical Review B 88, 241408(R) (2013) |
![]() |
Ultracompact (3 µm) silicon slow-light optical modulator Scientific Reports 3, 3546 (2013) |
![]() |
Unraveling nonlinear spectral evolution using nanoscale photonic near-field point-to-point measurements Nano Letters 13, 5858 (2013) |
![]() |
Resonant coupling from a new angle: coherent control through geometry Optics Express 21, 16504 (2013) |

![]() |
Ultrafast tunable optical delay line based on indirect photonic transitions Physical Review Letters 108, 213901 (2012) |
![]() |
Plasmon scattering from single subwavelength holes Physical Review Letters 108, 127402 (2012) |

![]() |
Exploiting long-range order in quasiperiodic structures for broadband plasmonic excitation Applied Physics Letters 98, 201108 (2011) |
![]() |
All-optical ultrafast control of beaming through a single sub-wavelength aperture in a metal film Optics Express 19, 7856 (2011) |
![]() |
An analytic model of plasmonic coupling: surface relief gratings Physical Review B 83, 045416 (2011) |

![]() |
Ultrafast silicon-based active plasmonics at telecom wavelengths Optics Express 18, 19761 (2010) |
![]() |
Ultrafast all-optical coupling of light to surface plasmon polaritons on plain metal surfaces Physical Review Letters 105, 017402 (2010) |

![]() |
Tunable ultrafast control of plasmonic coupling to gold films Physical Review B 80, 245420 (2009) |

|
Three photon absorption in silicon for 2300 – 3300 nm Applied Physics Letters 93, 131102 (2008) |
|
![]() |
Ultrafast control of grating-assisted light coupling to surface plasmons Optics Letters 33, 2137 (2008) |

|
Two-Photon Absorption and Kerr coefficient of Silicon for 850-2200 nm Applied Physics Letters 90, 191104 (2007) |
|
![]() |
Nonlinear absorption in Au films: Role of thermal effects Physical Review B 75, 155426 (2007) |